وزارة الصحة الفلسطينية تنشر أسماء شهداء غزة
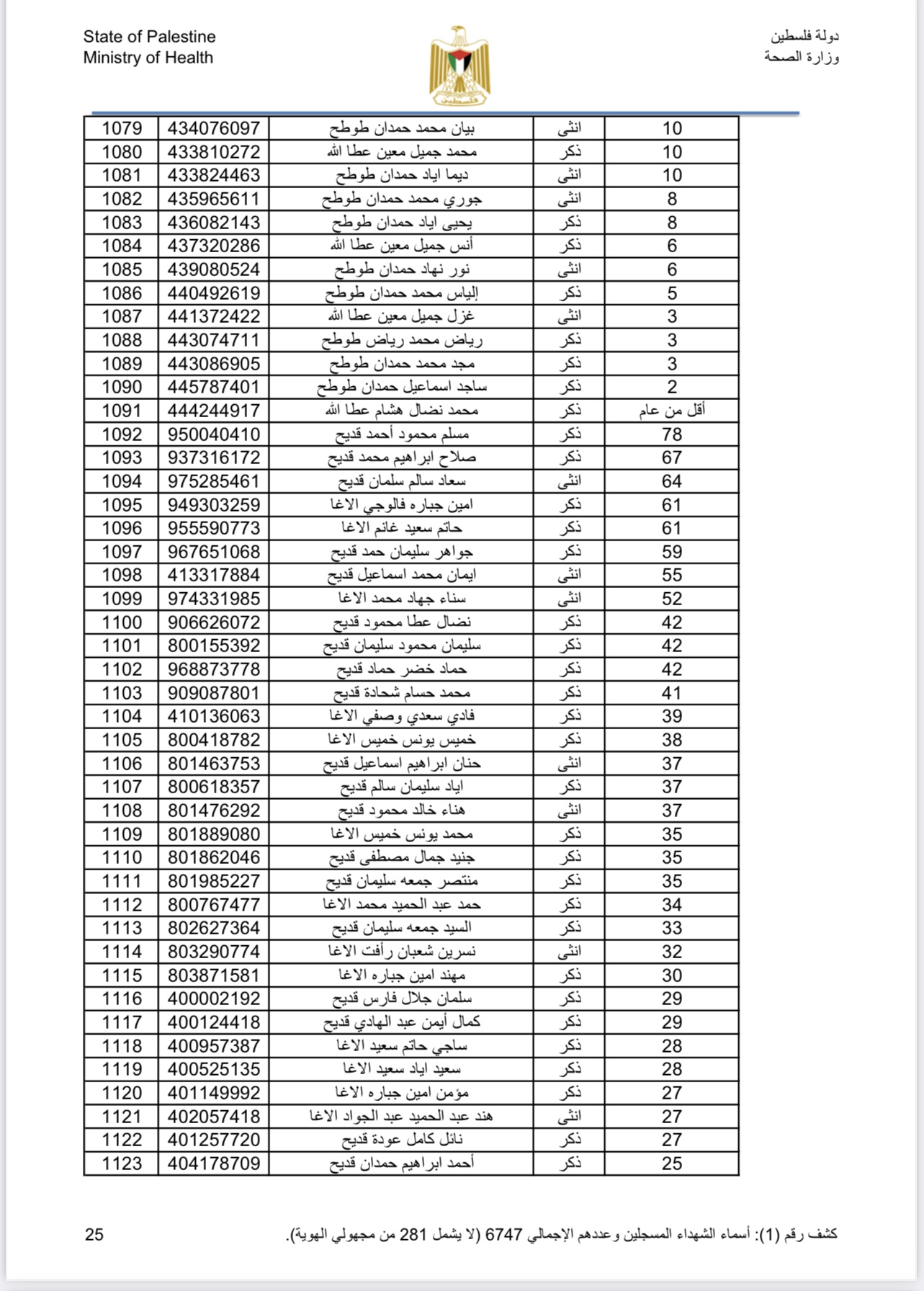
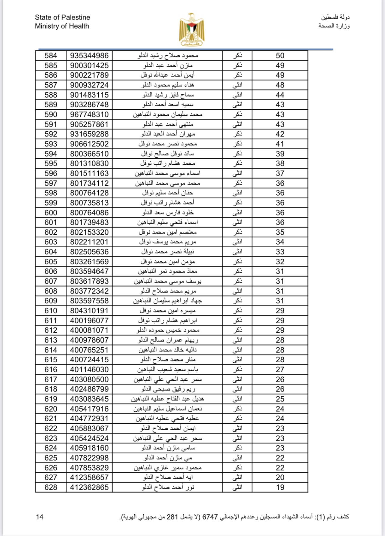
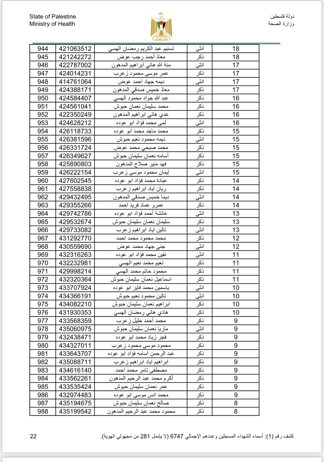
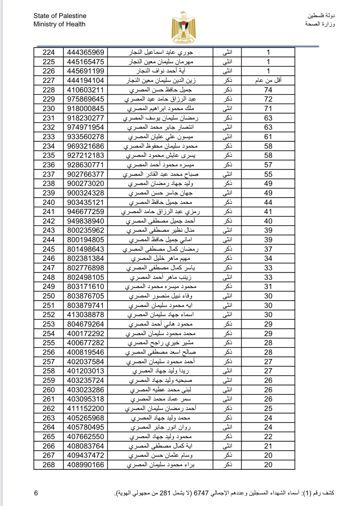
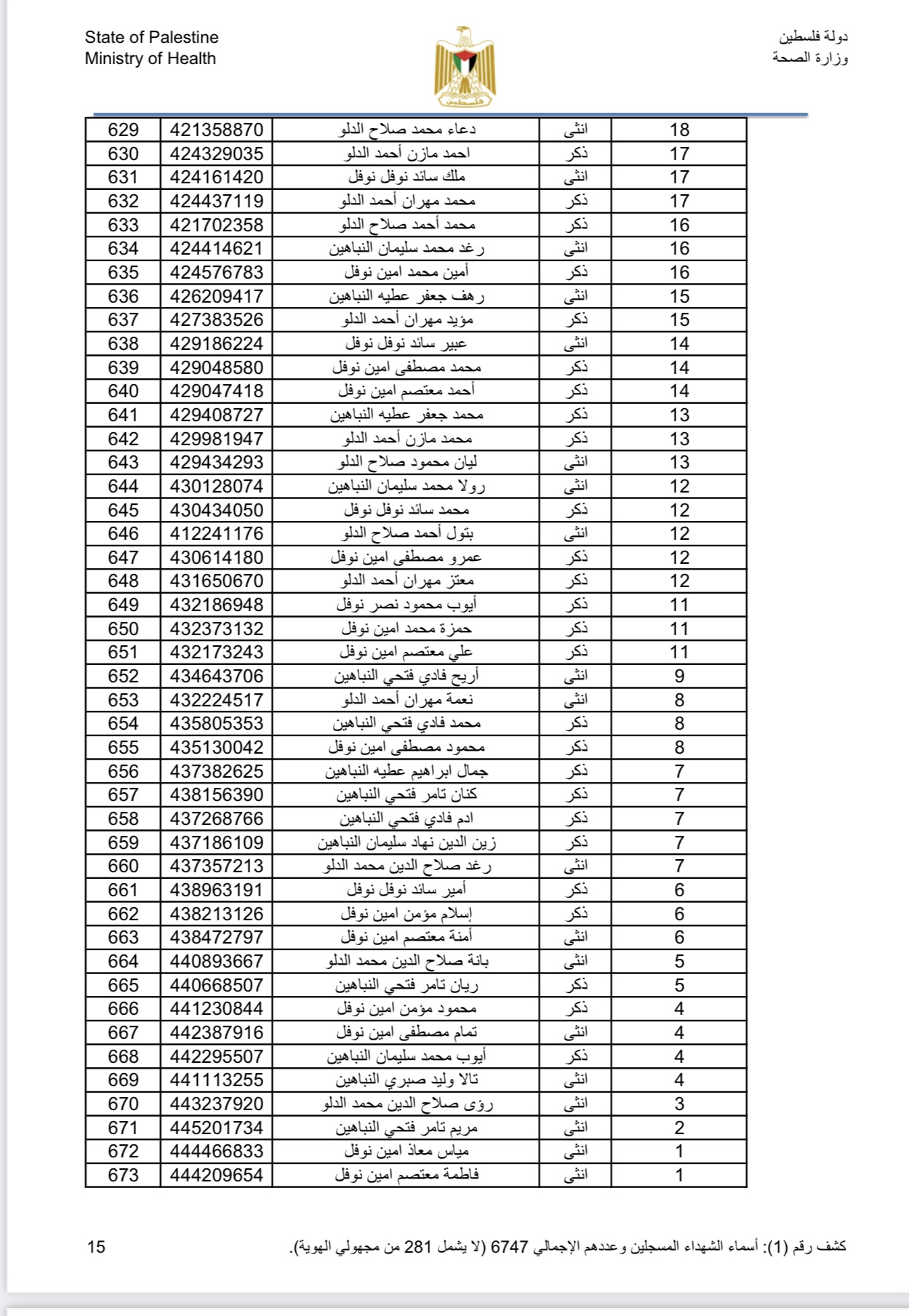
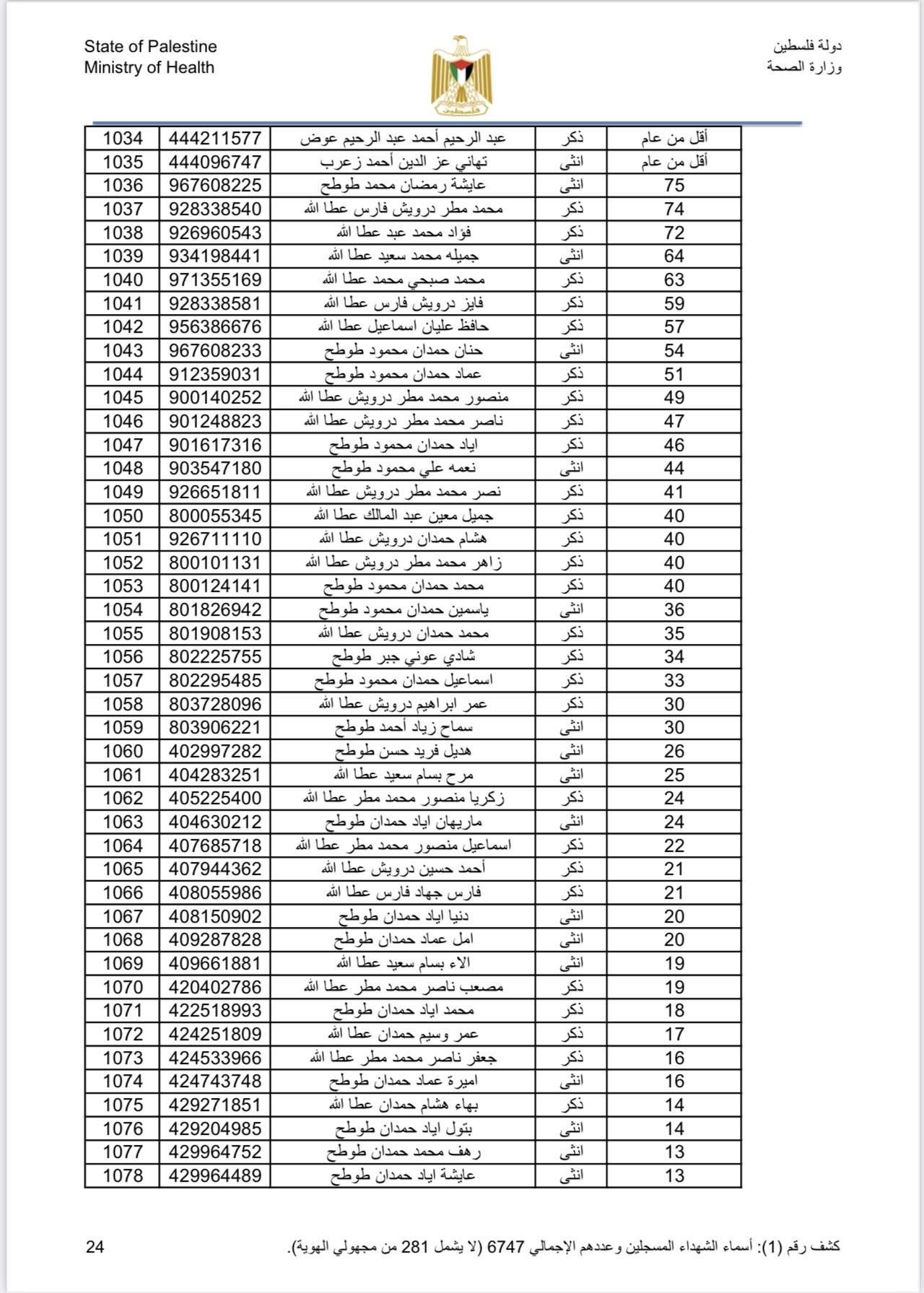
عمانيات - نشرت وزارة الصحة الفلسطينية تقريرا تفصيليّا يوثّق تفاصيل ضحايا العدوان من الشهداء، بما فيها أسماءُ جميعهم. وأوضحت أن عدد الشهداء بلغ 7028، منهم 2913 طفلًا.
وبالرغم من ذلك، استمرّت الإدارة الأميركيّة في تجاهُل الحقائق، وآلاف الضحايا، وقال البيت الأبيض: "نعلم أن هناك ضحايا مدنيين في غزة، ولكن لا ينبغي الاعتماد على أرقام حركة حماس ووزارة الصحة بغزة".
وتنكّرت الإدارة الأميركية مجددا للشهداء، ضحايا مجزرة مستشفى المعمداني، الذي كانت سلطات الاحتلال الإسرائيليّ قد زعمت أنه فُجِّر إثر إطلاق صاروخيّ خاطئ من قبل "الجهاد الإسلامي"، إذ قال البيت الأبيض، إن "حماس ضاعفت الأرقام بعد الهجوم على المستشفى المعمداني ونعلم أن هذه الأرقام غير صحيحة".
وبالرغم من ذلك، استمرّت الإدارة الأميركيّة في تجاهُل الحقائق، وآلاف الضحايا، وقال البيت الأبيض: "نعلم أن هناك ضحايا مدنيين في غزة، ولكن لا ينبغي الاعتماد على أرقام حركة حماس ووزارة الصحة بغزة".
وتنكّرت الإدارة الأميركية مجددا للشهداء، ضحايا مجزرة مستشفى المعمداني، الذي كانت سلطات الاحتلال الإسرائيليّ قد زعمت أنه فُجِّر إثر إطلاق صاروخيّ خاطئ من قبل "الجهاد الإسلامي"، إذ قال البيت الأبيض، إن "حماس ضاعفت الأرقام بعد الهجوم على المستشفى المعمداني ونعلم أن هذه الأرقام غير صحيحة".
تعليقات القراء
لا يوجد تعليقات
الرد على تعليق